(物电学院 通讯员 刘科)近日,我校低维光电材料与器件湖北省重点实验室青年教师徐可博士以第一作者和通讯作者在国际物理权威期刊Physical Review B上发表题为Orthorhombic BiFeO3: Theoretical studies on magnetoelectric effects of the multiferroic phase的研究论文,湖北文理学院为第一署名单位。
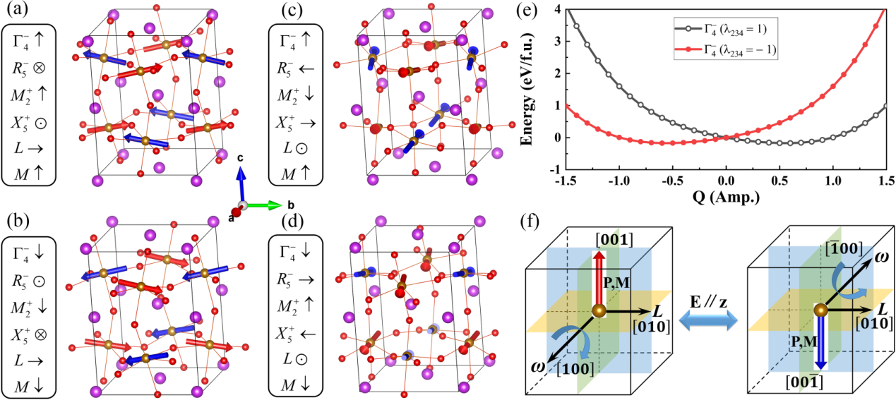
该论文探索并发现了正交相铁酸铋中一种特殊的磁电耦合机制,揭示出正交相铁酸铋中极化P的反转将伴随着磁化M的翻转,即利用电场可以实现磁电的交叉调控,有望在磁随机存储器中实现电读取,磁写入,将会在磁存储器领域发挥重要应用。

铁酸铋磁电耦合机制示意图
Physical Review B是美国物理学会(American Physical Society)旗下的具有重要影响的国际学术期刊之一,主要刊登凝聚态物理和材料物理等领域的高水平前沿学术成果,是国际物理学界广泛认可的享有高度学术声誉的期刊之一。这是我校首次在该期刊上发表研究成果。
近年来,我校低维光电材料与器件湖北省重点实验室积极面向世界科技主战场和国家重大需求,大力弘扬科学家精神,紧密围绕学术前沿问题开展原创性基础研究,以敢为天下先的勇气,奋勇攀登科学高峰,努力探索取得突破性、颠覆性研究成果,在JACS、Chemical Science、Nano Energy等国际TOP期刊上发表了一系列原创性高质量研究成果,为推动材料学科大发展做出了积极贡献。
审稿人:吴钊 汪竞阳